免💰且超好用的 \(LaTeX\) 公式识别工具推荐: SimpleTex!⚓︎
约 755 个字 8 张图片 预计阅读时间 3 分钟 总阅读量 次
今天推荐一个好用的LaTeX公式识别工具:SimpleTex。感觉是论文人的大福音!尤其是需要打很多冗长公式的理工er们!无广!

首先说说推荐理由:
- 不需🪜,免💰使用(当然如果愿意付💰也会有更多功能),基础功能在网页端注册后就能直接使用!
- 支持手写公式识别、截图公式识别,有中文版!
- 支持==多种格式==的导出,比如在word中公式编辑器、Markdown下的LaTeX代码等众多格式,只需复制+粘贴即可
- 准确度很高,对一些复杂公式的识别准确度也很高,后续会给出案例。
🔗就是simpletex点cn。浏览器端即可使用,当然也支持不同系统的APP。
使用场景⚓︎
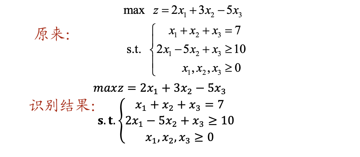
最常见的场景是图片公式识别。比如有一段结构比较复杂的公式,我需要把这个公式用Word自带的公式编辑器输入到文档中。比如下面的例子,这是一个带大括号的公式,用Word自己的公式编辑器很不舒服。

你只需要把这个公式截图,放到“在线识别”中(拖动or上传图片),第一次识别它会自动给你弹出教程 (太贴心了!)

可以看到它提供了3种输出方式:WPS,word和LaTeX.点击不同部分会弹出不同的教程:

快速过一下教程,可以看到已经帮我们识别好了,并且根据你所需要的场景给出了不同的格式:

我们这里点击复制到MathML格式(也就是word自带的公式编辑器的格式),然后直接粘贴到word里。注意这里在word里不需要插入公式了,直接粘贴!直接起一行,然后Control + V!就够了!

Voila! 大功告成!不需要手动插入公式编辑器-输入LaTeX,调整格式,直接就做完了!
当然,这个工具也是支持导出为标准LaTeX的,在刚刚的导出界面,可以进行选择:

如下是我直接将它的结果复制下来的显示结果:
\[\begin{aligned}\max&z=2x_1+3x_2-5x_3\\\mathbf{s.t.}&\begin{cases}x_1+x_2+x_3=7\\2x_1-5x_2+x_3\geq10\\x_1,x_2,x_3\geq0&\end{cases}\end{aligned}\]
最后,这个工具支持手写LaTeX识别,比如你推导到一个最终答案,又不想自己手敲,那可以上传一个截图,就像下面这样:

可见识别准确度还是相当不错的。
总结⚓︎
主要功能免💰!而且个人感觉准确度很好,我之前试过GPT帮我转换,准确度也很好,但是它转的LaTeX公式很难直接写到word中,因为它很多都是按照LaTeX输出,即使规定了要用MathML,它也会时不时抽风...所以这一款工具几乎直接填补了这个功能的短缺!